使用BFS算法来解决Puzzle(二)
配合音乐看,效果更好 ^_^
一个简单的BFS实现

以下为伪代码:
Queue: 用来储存需要遍历的结点,FIFO先进先出。
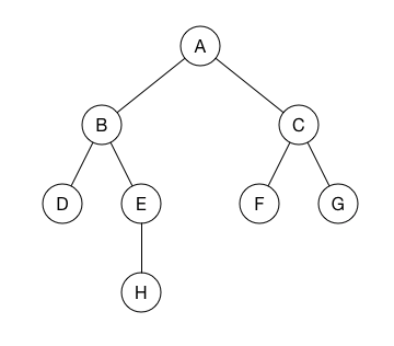
假设我们从A点出发
queue.enqueue(A) // 把A点加入到队列,现在队列为 [ A ]
queue.dequeue() // 取出队列里第一个结点A,现在队列为 [ ],(A被标记为已遍历,以下同)
A的关联结点为B和C
queue.enqueue(B)
queue.enqueue(C) // 把B和C加入到队列, 现在队列为 [ B, C ]
queue.dequeue() // 取前队列里第一个结点B,现在队列为 [ C ]
B的关联结点为D和E
queue.enqueue(D)
queue.enqueue(E) // 把D和E加入到队列, 现在队列为 [ C, D, E ]
queue.dequeue() // 取前队列里第一个结点C,现在队列为 [ D, E ]
B的关联结点为F和G
queue.enqueue(F)
queue.enqueue(G) // 把F和G加入到队列, 现在队列为 [ D, E, F, G ]
queue.dequeue() // 取前队列里第一个结点D,现在队列为 [ E, F, G ]
D没有关联结点
queue.dequeue() // 取前队列里第一个结点E,现在队列为 [ F, G ]
E的关联结点为H
queue.enqueue(H) // 把H加入到队列, 现在队列为 [ F, G, H ]
queue.dequeue() // 取前队列里第一个结点F,现在队列为 [ G, H ]
F没有关联结点
queue.dequeue() // 取前队列里第一个结点G,现在队列为 [ H ]
G没有关联结点
queue.dequeue() // 取前队列里第一个结点H,现在队列为 [ ]
H没有关联结点,至此遍历结束
我们遍历的顺序为: A B C D E F G H 如下图:

尝试遍历Puzzle
根据上图我们得到第一步的结点: R1和R2,但是第二步白格换位置了,于是我们得到
R2 R3 R4三个结点。当称动到第三步时我们又得到R1 R3 B3 R5四个结点。
如果按照BFS的逻辑进行遍历的话,会有很多无效的step(每走的一步)。很且很容易走进死循环(想一想为什么)。
所以我们需要在BFS的基础上进行一些自定义的操作。
一个自定义的BFS
首先我们先看以下两种情况:

第一种情况:
第二步和第四步的步数不同分别为step2和step4(废话,但是必须说),但是图形完全一样。
在这种情况下,我们需要把曾经出现过的图形保存起来,用来在走每一步时判断是否为重复的图形(因为同样的图形可能是由不同的step来产生的)。如果为重复的图形,那么这一步就弃掉不再加入到queue里进行遍历。
第二种情况:
以step2为原点,step1为前一步,step3为下一步。step1 == step3。当下一步等于前一步时,弃掉下一步。 这样就可以避免死循环了。
把图形抽像成string
根据以上结论我们需要创建这样一个对象:
private class Route: CustomStringConvertible {
var previousStep: Int = 0
var nextStep: Int = 0
var frame: String
var stepsList: String
init(previousStep: Int, nextStep: Int, frame: String) {
self.previousStep = previousStep;
self.nextStep = nextStep
self.frame = frame
self.stepsList = ""
}
open var description: String {
return "previous step: \(previousStep), current step: \(nextStep), frame: \(frame), steps: \(stepsList)"
}
}
steplist代表走过的每一步的方向。e.g: 下,右 = Down, Right = DR。
这里的Frame要特别说明一下,在第一种情况下我们需要保存曾经出现过的图形,把这个概念抽像成帧,每走一步产生的图形即代表一帧。
这里用String是因为取hash值验证比较方便。所以接下来我们就要定义如何用string来表示图形。
白格子用w(white)表示,红格子用r(red)表示,蓝格子用b(blue)表示。那么我们可以得到以下string:
W R B B
R R B B
R R B B
R R B B
简化后为:WRBB RRBB RRBB RRBB = WRBBRRBBRRBBRRBB = wrbbrrbbrrbbrrbb
这样我们就可以推理出起始帧和结束帧:
Begin Frame = wrbbrrbbrrbbrrbb
End Frame = wbrbbrbrrbrbbrbr
验证
有了以上基础,我们就可以开始进行遍历了,但是每走一步我们都要进行如下验证:
首先检查有没有越界,因为我们用的是”wrbbrrbbrrbbrrbb”这样的string 第一行wrbb 第二行rrbb 第三行rrbb 第四行rrbb 上下左右移动就相当于在strings这个字符串数组里换位置,比如上是当前index - 4, 下是当前index + 4, 左是index - 1, 右是index + 1。
因为起始在左上角,所以向上和向左都越界了 我们先演示向下移动
let index = 0
var nextIndex = index + 4
wrbb rrbb rrbb rrbb
* ^
rrbb wrbb rrbb rrbb
^ *
其次,每一步的四个方向都遍历完后,验证是否已经有解了,这一步只要判断
rrbb wrbb rrbb rrbb == wbrb brbr rbrb brbr 即
route.frame.hash == endFrame.hash
下面用伪代码来演示
let queue = Queue()
let beginRoute = Route()
queue.enqueue(beginRoute)
let route = queue.dequeue()
let currentStep = route.nextStep
let previousStep = route.previousStep
var nextStep = currentStep - 4 // upward
if nextStep >= 0 && nextStep != previousStep {
self.moveUp()
}
nextStep = currentStep + 4 // downward
if nextStep < self.totalBlockCount && nextStep != previousStep {
self.moveDown()
}
nextStep = currentStep - 1 // leftward
if currentStep % self.columnCount - 1 >= 0 && nextStep != previousStep {
self.moveLeft()
}
nextStep = currentStep + 1 // rightward
if currentStep % self.columnCount + 1 < self.columnCount && nextStep != previousStep {
self.moveRight()
}
// 因为向下和向右两步都成功了,产生了两个新的route
let newRoute1 = route.moveDown()
queue.enqueue(newRoute1) // 现在queue为 [ newRoute1 ]
let newRoute2 = route.moveRight()
queue.enqueue(newRoute2) // 现在queue为 [ newRoute1, newRoute2 ]
// 然后继续遍历直到找到解为止
let route = queue.dequeue()
etc...